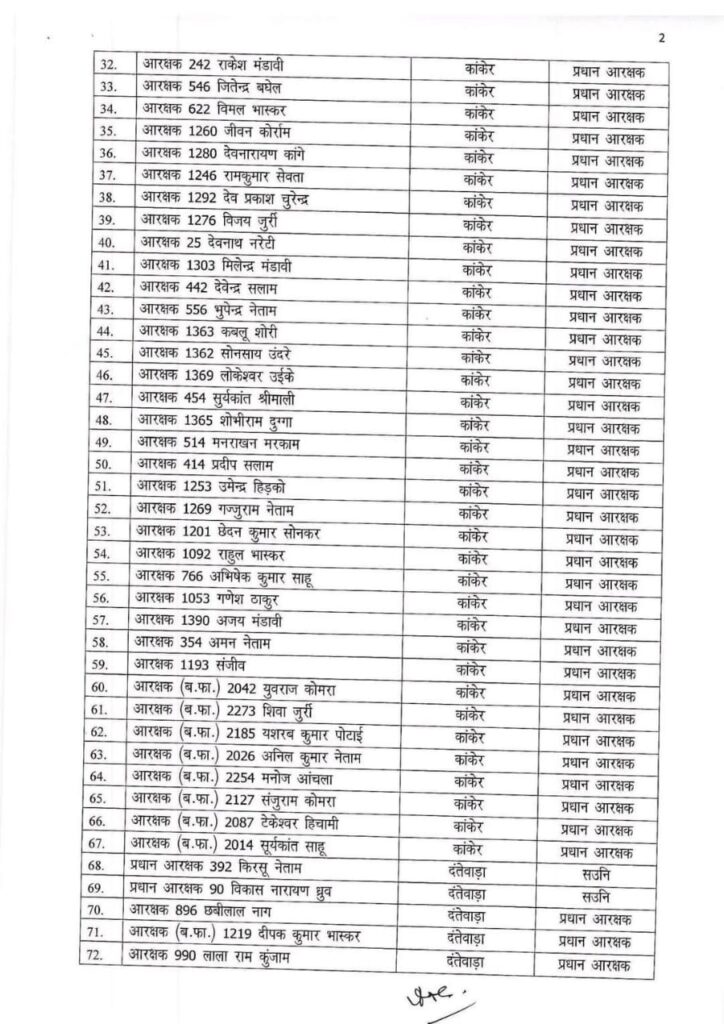
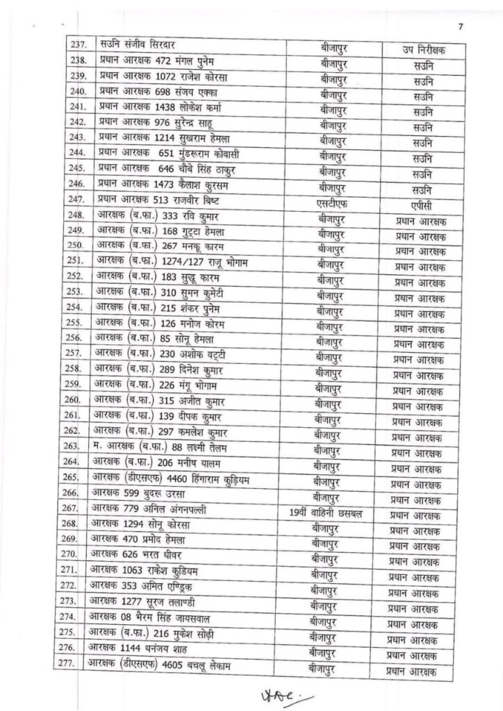
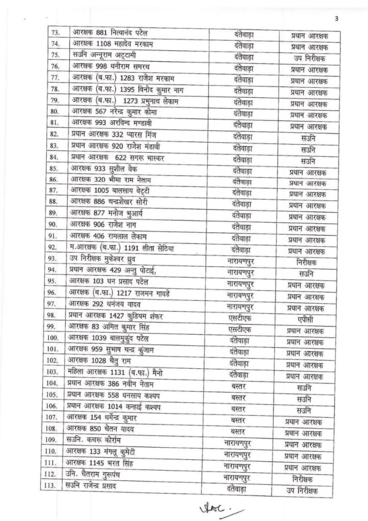
नक्सल अभियान के तहत शौर्य और साहस का परिचय देने वाले पुलिस जवानों को राज्य सरकार ने किया पुरस्कृत सूची हुई जारी…. खबरें आज की 30 May 2025satyakasamnaLeave a Comment on नक्सल अभियान के तहत शौर्य और साहस का परिचय देने वाले पुलिस जवानों को राज्य सरकार ने किया पुरस्कृत सूची हुई जारी…. राजधानी रायपुर/सत्य का सामना/ छत्तीसगढ़ गृह विभाग ने प्रदेश के नक्सल क्षेत्रों में हुए पुलिस नक्सली मुठभेड़ के तहत अनेक जवानों ने अपने शौर्य और साहस का अदम्य परिचय दिया ऐसे अनेक पुलिस जवानों को राज्य सरकार द्वारा पदोन्नति किया गया जो इस प्रकार है …. Post Views: 122